Figure 2
From: Engineered P450 biocatalysts show improved activity and regio-promiscuity in aromatic nitration

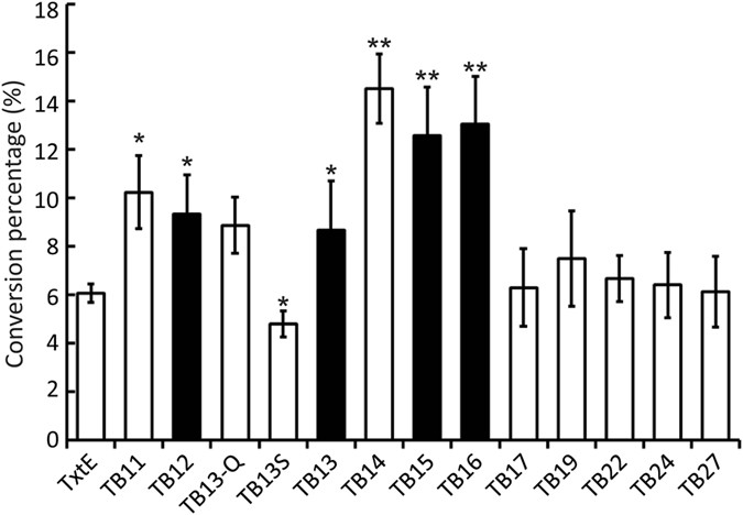
Relative nitration activity of TxtE and chimeric TxtE-BM3R variants. All reactions contained 0.5 mM Trp and 1.5 µM P450. The TxtE reaction was further supplemented with 0.43 µM spinach Fer and 0.33 µM Frd. The reactions were incubated at 20 °C, 300 rpm for 30 minutes. All experiments were repeated at least three times. The results of TB12, TB13, TB15, and TB16 were shown as black bars. Chimeras showed significant difference in nitration activity compared to the wild type TxtE were indicated as *P < 0.05 or **P < 0.01.