Figure 2
From: Water-carbon dioxide solid phase equilibria at pressures above 4 GPa

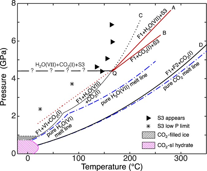
Phase boundaries of the water-carbon dioxide binary. Below 1 GPa, two CO2 hydrates (a sI clathrate and a filled ice) have been reported1,2,3. Filled triangles demark where the new phase (S3) has been observed to nucleate upon heating. Asterisks indicate pressures below which S3 was seen to decompose. The black dotted line indicates the (unobserved) metastable extension of the CO2-saturated H2O(VII) solidus to higher temperatures in the absence of S3, and the red dotted line an approximate metastable extension of the solidus of S3 to lower temperatures. Curves labeled “A” through “D” correspond to the points12 (one peritectic, two eutectics, and the melting point) presented in Fig. 3. F1 is an aqueous solution, while melting of CO2 produces a fluid, F2, dominated by that compound. The invariant quadruple point, “Q” (H2O(VII) + CO2(I) + S3 + F1), lies at 4.4 GPa and 165 °C.