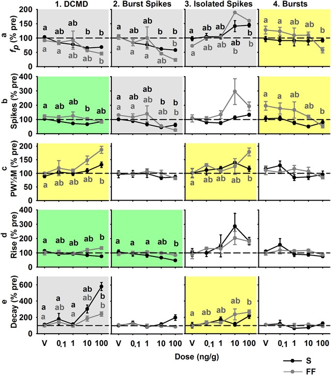
Figure 5

Response parameters (mean ± SEM) of the four DCMD rates (full DCMD, burst spikes, isolated spikes, and bursts) at 110 (S background) and 120 minutes (FF background) after treatment with an IMD dose (ng/g) or the vehicle (V). Data plotted as a percent of pre-treatment values within each animal. Grey backgrounds indicate a significant effect of one or more IMD dose for stimuli presented over both S and FF backgrounds, yellow indicates a significant effect within FF background only, and green for S background only. Significant results of post hoc analyses are indicated with letters colour coded to the respective background type.