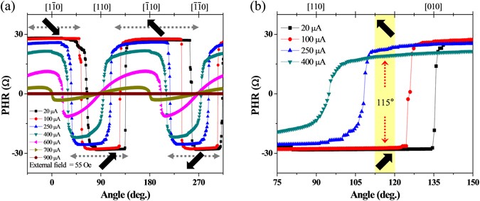
Figure 3
From: Non-volatile logic gates based on planar Hall effect in magnetic films with two in-plane easy axes

(a) Dependence of PHR on field orientation observed at various currents, from 20 µA to 900 µA, as an external field of 55 Oe is rotated CCW over 360°. Black thick arrows show the direction of magnetization at different field orientations during magnetization reversal. (b) Expanded view of the region between 75° and 150°. Importantly, the direction of magnetization can be different at the same field orientation for different currents, as illustrated by the behaviour in the yellow shaded region.