Figure 3

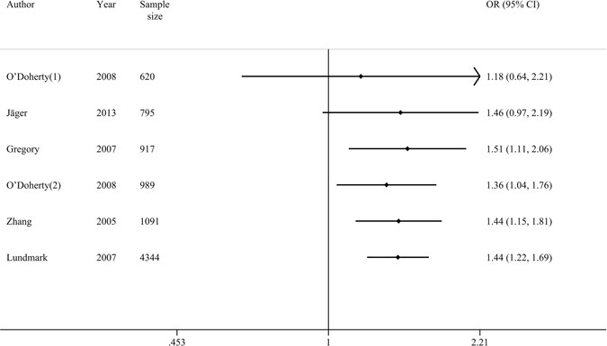
Forest plot of cumulative meta-analysis by sample size about the association between the rs987107 polymorphism and MS risk under the recessive model.

Forest plot of cumulative meta-analysis by sample size about the association between the rs987107 polymorphism and MS risk under the recessive model.