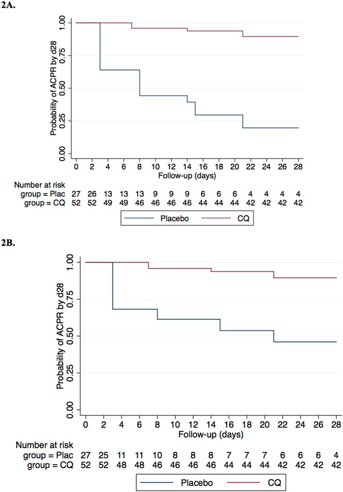
Figure 2

PCR uncorrected (2A) and PCR-corrected (2B) Kaplan Meier curves showing the treatment success cumulative proportion for each study arm until day 28 in the ATP population. Cumulative risks of failure were computed for day 28 and Log-Rank tests used to compare the number of events that occurred in each arm. PCR-corrected curves censored participants who experienced a reinfection on the day it was detected.