Figure 6

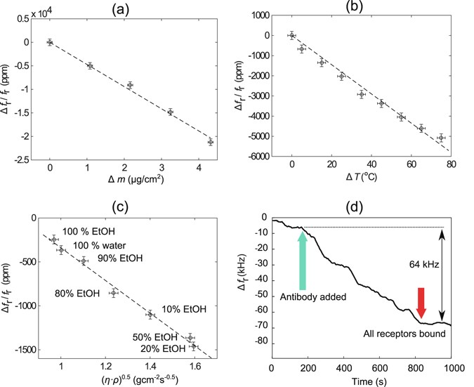
(a) Mass sensitivity calibration by the deposition of known thicknesses of Al on the resonator surface area, S m = (4.95 ± 0.08) kHz · cm2/ng. (b) Temperature effect on shear mode f r, which decreases with temperature with a TCF value of −66 ppm/K. (c) Effect of ethanol-water mixtures with the shear mode f r. (d) Detection of biotin conjugated Rabbit IgG in-liquid using the shear resonance of a functionalized device, detection is complete in 600 s. All the data are for the device with Al deposited at T S = 100 °C.