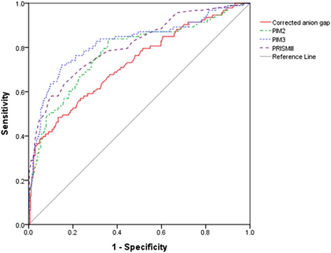
Figure 1
From: Serum anion gap at admission as a predictor of mortality in the pediatric intensive care unit

Receiver operating characteristic (ROC) curves for mortality between corrected anion gap and pre-existing mortality prediction models in PICU. There were no differences between corrected anion gap and other prediction models for mortality. PIM3 showed the best power to predict in-hospital mortality (area under the ROC curve, 0.822 [95% CI, 0.767–0.877]).