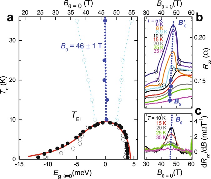
Figure 1

(a) Experimental phase boundary at θ = 0° (filled black circles) from R xx (see Supplementary Information) and the onset of insulating behavior (open black circles) from R zz , plotted against B (top axis) and E g according to Equation 1 with E 0 = 24.4 meV (bottom axis). The red line indicates the mean field phase boundary of Abrikosov20. Cyan circles (and dotted line) indicate the half-maximum width of ∂R zz /∂B. (b) R zz in the vicinity of the excitonic insulator phase at selected temperatures as indicated. (c) ∂R zz /∂B versus B for T > T EI. In all panels, filled blue circles indicate the point of inflection in R zz at T > T EI, with a blue dotted line providing a guide to the eye. Note that E g is only weakly T-dependent (see Supplementary Information).