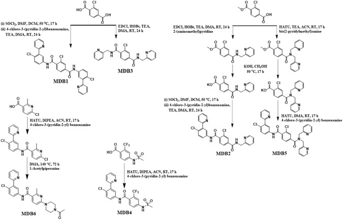
Figure 1

Schematic representation of GDC-0449 analogs synthesis. 2-chloro-N 1,N 4-bis[4-chloro-3-(2-pyridinyl)phenyl]-1,4-benzenedicarboxamide (MDB1), 2-chloro-N 1-[4-chloro-3-(2-pyridinyl)phenyl]-N 4-(2-pyridinylmethyl)-1,4-benzenedicarboxamide (MDB2), 2-chloro-N 1,N 4-bis(2-pyridinylmethyl)-1,4-benzenedicarboxamide (MDB3), N-[4-chloro-3-(2-pyridinyl)phenyl]-4-[(methylsulfonyl)amino]-2-(trifluoromethyl)benzamide (MDB4), 2-chloro-N 1-[4-chloro-3-(2-pyridinyl)phenyl]-N 4,N 4-bis(2-pyridinylmethyl)-1,4-benzenedicarboxamide (MDB5) and 6-(4-acetyl-1-piperazinyl)-N-[4-chloro-3-(2-pyridinyl)phenyl]-2-methyl-3-pyridinecarboxamide (MDB6) were synthesized using N-[3-(2-pyridinyl) phenyl]benzamide scaffold of GDC-9449.