Figure 3
From: Scaling of average receiving time on weighted polymer networks with some topological properties

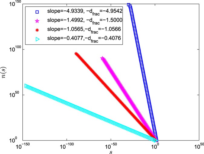
The log-log plot of n(s) versus s for different weight factor r and different copy number f.
From: Scaling of average receiving time on weighted polymer networks with some topological properties

The log-log plot of n(s) versus s for different weight factor r and different copy number f.