Figure 7
From: Scaling of average receiving time on weighted polymer networks with some topological properties

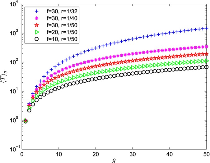
Average receiving time 〈T〉 g versus g is on a semilogarithmic scale for the range of \(0 < r < \frac{1}{f+1}\).
From: Scaling of average receiving time on weighted polymer networks with some topological properties

Average receiving time 〈T〉 g versus g is on a semilogarithmic scale for the range of \(0 < r < \frac{1}{f+1}\).