Thank you for visiting nature.com. You are using a browser version with limited support for CSS. To obtain
the best experience, we recommend you use a more up to date browser (or turn off compatibility mode in
Internet Explorer). In the meantime, to ensure continued support, we are displaying the site without styles
and JavaScript.
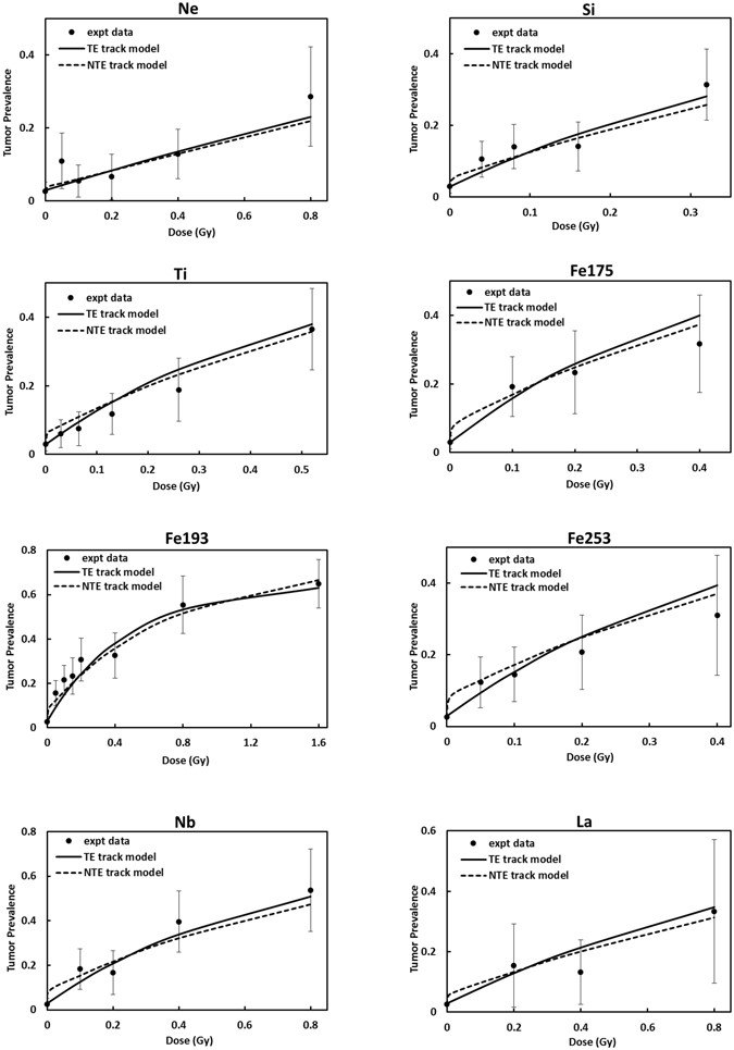
Comparison of TE and NTE models for Ne, Si, Ti, Fe, Nb and La beams to the experiments of Alpen et al.12, 13 and Chang et al.14, respectively for the dose response for Harderian gland tumor prevalence. Error bars represent standard errors in the experiments.