Figure 6
From: Thickness-dependent conductance in Sb2SeTe2 topological insulator nanosheets

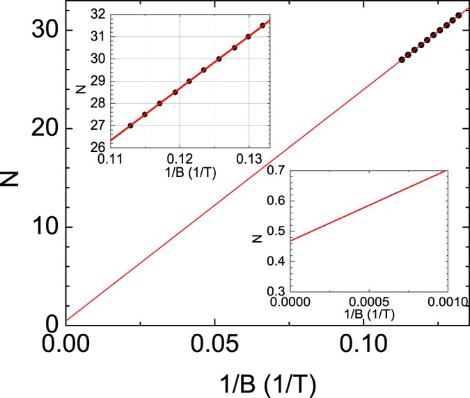
The Landau level fan diagram. The 0th Landau level is obtained from the linear extrapolation of 1/B = 0. The inset shows that the obtained value is 0.47 ± 0.01 which is consistent with the theoretical prediction for Dirac particles.