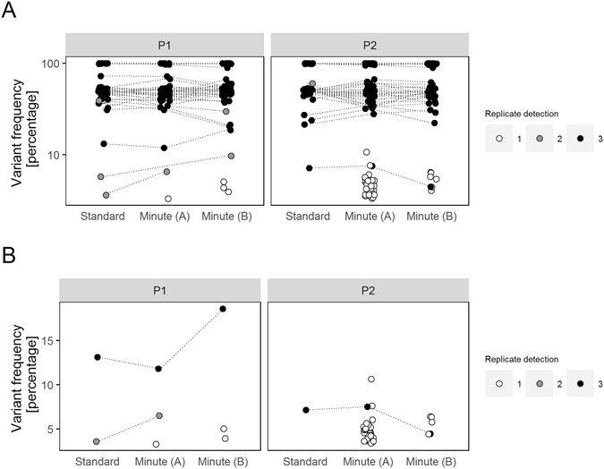
Figure 3

Detection of (somatic) variants in standard and minute primary tumor replicate samples. (A) The variant frequency in percentages of variants detected in a single replicate (1, white), in two out of three replicates (2, grey) or in all three replicates (3, black) of the two analyzed patients. Recurrent somatic variants at unique genomic positions are connected by lines to visualize variant frequency between replicates. (B) The variant frequency in percentages of somatic variants detected in a single replicate (1, white), in two out of three replicates (2, grey) or in all three replicates (3, black) of the two analyzed patients. Recurrent somatic variants at unique genomic positions are connected by lines to visualize variant frequency between replicates.