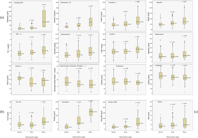
Figure 1

(a) Box plot values for the significant serum nephron-biomarkers according to different nephropathy stag. (b) Box plot values for the significant plasma nephron-biomarkers according to different nephropathy stages. (c) Box plot values for the significant urinary nephron-biomarkers according to different nephropathy stages. *P value compared with subjects with normal albumin excretion.