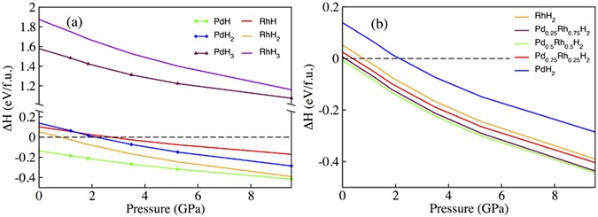
Figure 2

(a) The formation enthalpy difference for Pd-H and Rh-H systems. (b) The formation enthalpy for Pd x Rh1−x H2 alloy system. The combined enthalpy of the stable constituent elements establish the reference line corresponding to each compound expressed with dash. ReferenceLine = ∑ [xH(Pd) + (1 − x)H(Rh) + 2H(0.5H 2)].