Figure 3

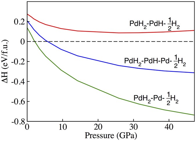
Reaction enthalpy of PdH2 according to the three reactions paths: (a) PdH2 = Pd + H 2; (b) 2PdH 2 = 2Pd + H 2; (c) \(4Pd{H}_{2}=2PdH+2Pd+3{H}_{2}.\)

Reaction enthalpy of PdH2 according to the three reactions paths: (a) PdH2 = Pd + H 2; (b) 2PdH 2 = 2Pd + H 2; (c) \(4Pd{H}_{2}=2PdH+2Pd+3{H}_{2}.\)