Figure 4

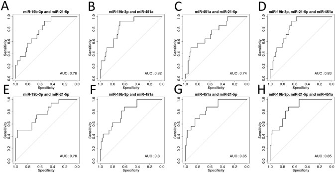
ROC analysis using binomial logistic regression to combine microRNAs for (A–D) TLE samples versus CH, CND and (E–H) SE samples versus CH, CND and TLE samples.

ROC analysis using binomial logistic regression to combine microRNAs for (A–D) TLE samples versus CH, CND and (E–H) SE samples versus CH, CND and TLE samples.