Figure 3
From: Orthogonal quasi-phase-matched superlattice for generation of hyperentangled photons

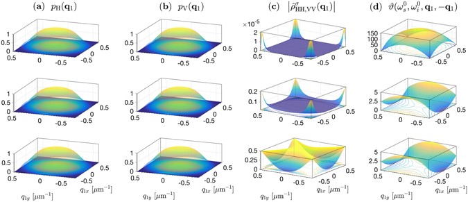
Comparison of the angular characteristics of biphotons emitted by three LiNbO3 structures—cascaded crystals (top), double-nonlinearity (middle), and superlattice (bottom)— of 5-mm overall length, excited by a plane-wave 133-fs pulsed pump at 532 nm. The downconversion is nondegenerate with signal and idler photons centered at 810 nm and 1550 nm, and noncollinear with central emission angles 0.5° and 0.96° in free space, respectively. Ultra-wide band spectral filters (70-nm full width at half maximum) are used. (a) Angular distribution of the signal emission cones, described by the function p H(q 1) which equals the probability density P H(q 1, q 2) evaluated at q 2 = −q 1. (b) Same as in (a) for the VV component. (c) Magnitude of the cross element of the reduced density matrix \({\hat{\rho }}_{\mathrm{HH},\mathrm{VV}}^{\sigma }({{\bf{q}}}_{1})\). (d) Relative phase ϑ [rad] between the superposition weights of the |HH〉 and |VV〉 states, evaluated at q 2 = −q 1 as a function of q 1 = (q 1x , q 1y ). An overall phase offset is subtracted for clarity.