Figure 4
From: Orthogonal quasi-phase-matched superlattice for generation of hyperentangled photons

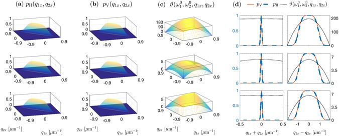
Comparison of the angular characteristics of biphotons emitted by three LiNbO3 structures—cascaded crystals (top), double-nonlinearity (middle), and superlattice (bottom)— of 5-mm overall length, excited by a 532-nm, 133-fs pulsed pump focused to a 50-μm waist. The downconversion is nondegenerate with signal and idler photons centered at 810 nm and 1550 nm, and noncollinear with central emission angles 0.5° and 0.96° in free space, respectively. Ultra-wide band spectral filters (70-nm full width at half maximum) are used. (a) Cross-section of the probability distribution P H(q 1, q 2) in the x–z plane: p H(q 1x , q 2x ) = P H(q 1x , 0, q 2x , 0) for the HH component of the state. (b) Same as in (a) for the VV component. (c) Relative phase ϑ [rad] between the superposition weights of the |HH〉 and |VV〉 states, evaluated in the x–z plane as a function of q 1x and q 2x . An overall phase offset is subtracted for clarity. (d) Normalized projections of the distributions in (a–c) along the diagonal and off-diagonal directions as functions of (q 1x  + q 2x ) and (q 1x  − q 2x ), normalized to their respective peak values.