Figure 6
From: Orthogonal quasi-phase-matched superlattice for generation of hyperentangled photons

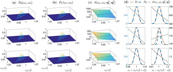
Comparison of the spectral characteristics of biphotons emitted by three LiNbO3 structures—cascaded crystals (top), double-nonlinearity (middle), and superlattice (bottom)— of 5-mm overall length, excited by a 532-nm, 133-fs pulsed pump focused to a 50-μm waist. The emitted light is collected through two Gaussian apertures placed in the focal planes of two identical 2-f systems of 15-cm focal lengths and with \({\sigma }_{{q}_{1}}={\sigma }_{{q}_{2}}=60\) mm−1, corresponding to apertures widths of 1.2 mm (16-mrad collection angle) and 2.2 mm (29-mrad collection angle) for the signal and idler, respectively. Due to the phase-matching condition, the signal and idler bandwidth set by the apertures is ~750 nm. (a) The biphoton probability distribution P H(ω 1, ω 2) for the HH component. (b) Same as (a) but for the VV component. (c) Relative phase ϑ [rad] between the superposition weights of the |HH〉 and |VV〉 states as a function of ω 1 and ω 2. An overall phase offset is subtracted for clarity. (d) Projections of P H(ω 1, ω 2) and P V(ω 1, ω 2) along the diagonal and off-diagonal directions as functions of (ω 1 + ω 2) and (ω 1 − ω 2), normalized to their respective maximum values.