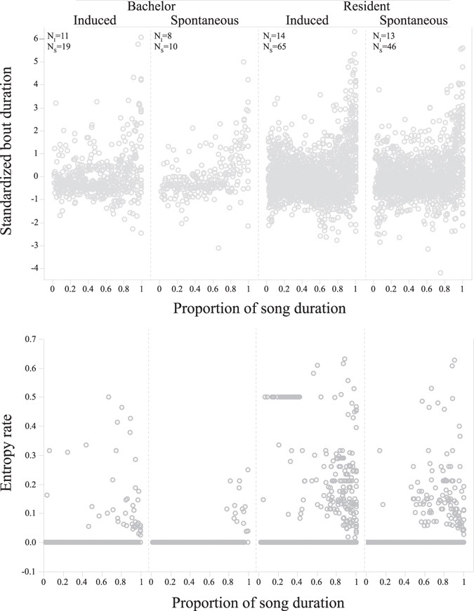
Figure 3
From: The progression pattern of male hyrax songs and the role of climactic ending

Progression plots of (a) standardised bout duration and (b) bout entropy rate and their proportional location through the signal. Bachelor songs were performed by males without stable association with a female group. Resident songs were performed by males that were regularly observed associating with a female group. Induced songs were performed following an external trigger event. Spontaneous songs were performed without any observable trigger. N i denotes number of individual males; N s denotes number of songs in a corresponding category.