Figure 9
From: Infectious pancreatic necrosis virus enters CHSE-214 cells via macropinocytosis

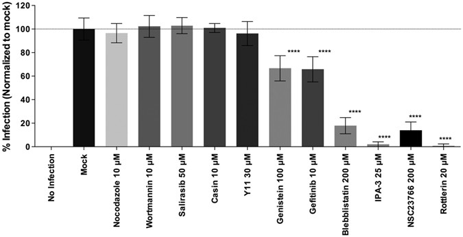
Cellular requirements for IPNV infection. IPNV infection of CHSE-214 cells was carried out in the presence of inhibitors of structural and functional cell components: nocodazole (10 μM), wortmannin (10 μM), salirasib (50 μM), casin (10 μM), Y11 (30 μM), genistein (100 μM) gefitinib (10 μM), blebbistatin (200 μM), 3-indole propionic acid (IPA-3 25 μM), NSC23766 (200 μM), rottlerin (20 μM), or no infection. CHSE-214 cells were propagated at 70–80% confluence in 24-well plates with round glass coverslips. IPNV was inoculated at an MOI of 1 for 1 h in the presence of the respective inhibitor. After 12 h of incubation at 20 °C, cells were processed by indirect immunofluorescence (IFI). Imaging of fixed slides was performed with an Olympus Spinning Disk IX81 microscope, and 250 cells were counted at each condition. Number of VP2/VP3-expressing cells is shown as a percentage, normalized to mock cells.