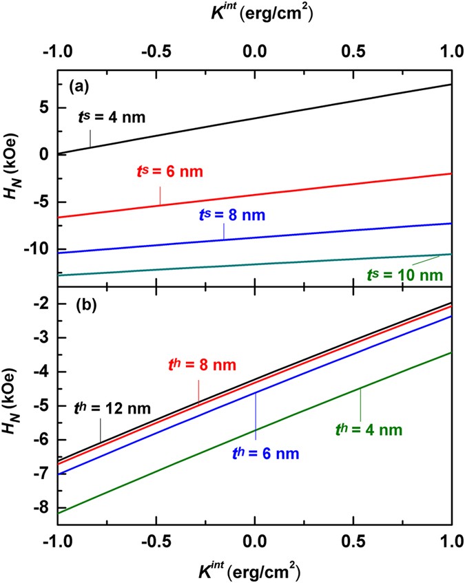
Figure 2

Calculated nucleation field as a function of the interface anisotropy constant K int based on Eq. (10) for Nd2Fe14B/α-Fe multilayers. (a) Nucleation fields for various soft layer thickness at t h = 10 nm. (b) Nucleation fields for various hard layer thickness at t s = 6 nm.