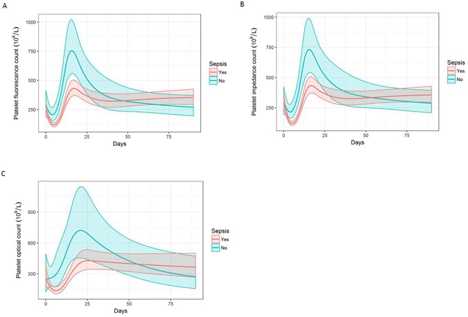
Figure 2

Platelet counts are different according to sepsis status. (A) Platelet fluorescence count (PLT-F) across time (n = 39). (B) Platelet impedance count (PLT-I) across time (n = 39). (C) Platelet optical count (PLT-O) across time (n = 39). Longitudinal analyses were performed using linear mixed-effects models to examine the relationship between time and platelet counts according to sepsis status (n = 39). Line represents predicted mean fixed effects; shaded area represents 95% confidence intervals.