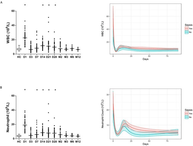
Figure 4

Circulating levels of white blood cells (WBC) and neutrophils are elevated post thermal injury. (A) White blood cell count (WBC) across time (n = 39). (B) neutrophil count across time (n = 39). Differences in kinetics were compared to data from control cohort (n = 40) using a Mann-Whitney test; *p < 0.005. Longitudinal analyses were performed using linear mixed-effects models to examine the relationship between time and WBCs or neutrophil count (n = 39). Line represents predicted mean fixed effects; shaded area represents 95% confidence intervals.