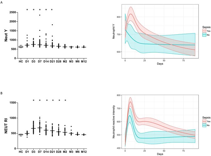
Figure 5

Burn injury results in a change of neutrophil phenotype and maturity. (A) Neut Y across time (n = 39). (B) neutrophil reactivity index (Neut RI) across time (n = 39). Differences in kinetics were compared to data from control cohort (n = 40) using a Mann-Whitney test; *p < 0.005. Longitudinal analyses were performed using linear mixed-effects models to examine the relationship between time and Neut Y or Neut RI count according to sepsis status (n = 39). Line represents predicted mean fixed effects; shaded area represents 95% confidence intervals.