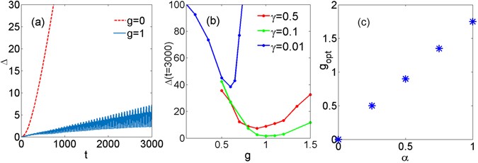
Figure 2

(a) Shows the temporal evolution of the overall spread of the wave packet Δ(t) for the linear case pertaining to Fig. 1 and to the nonlinear case shown in Fig. 3(a,b). (b) Δ(t = 3000), i.e., the spread after a long time evolution, as function of the nonlinearity g for different gradient coefficients: γ = 0.01, 0.1, and 0.5. For (a,b) we set α = 0.5. (c) Optimal values of the nonlinear coefficient g for various values of the continuous diffraction coefficient α. The gradient strength is set to γ = 0.1.