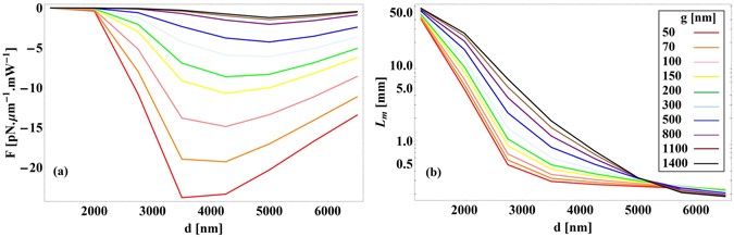
Figure 7

(a) Optical force versus waveguide’s diameter for different gap sizes for semi-insulating InP waveguide above the InP:Si substrate (b) propagation length at λ 0 = 20 µm.

(a) Optical force versus waveguide’s diameter for different gap sizes for semi-insulating InP waveguide above the InP:Si substrate (b) propagation length at λ 0 = 20 µm.