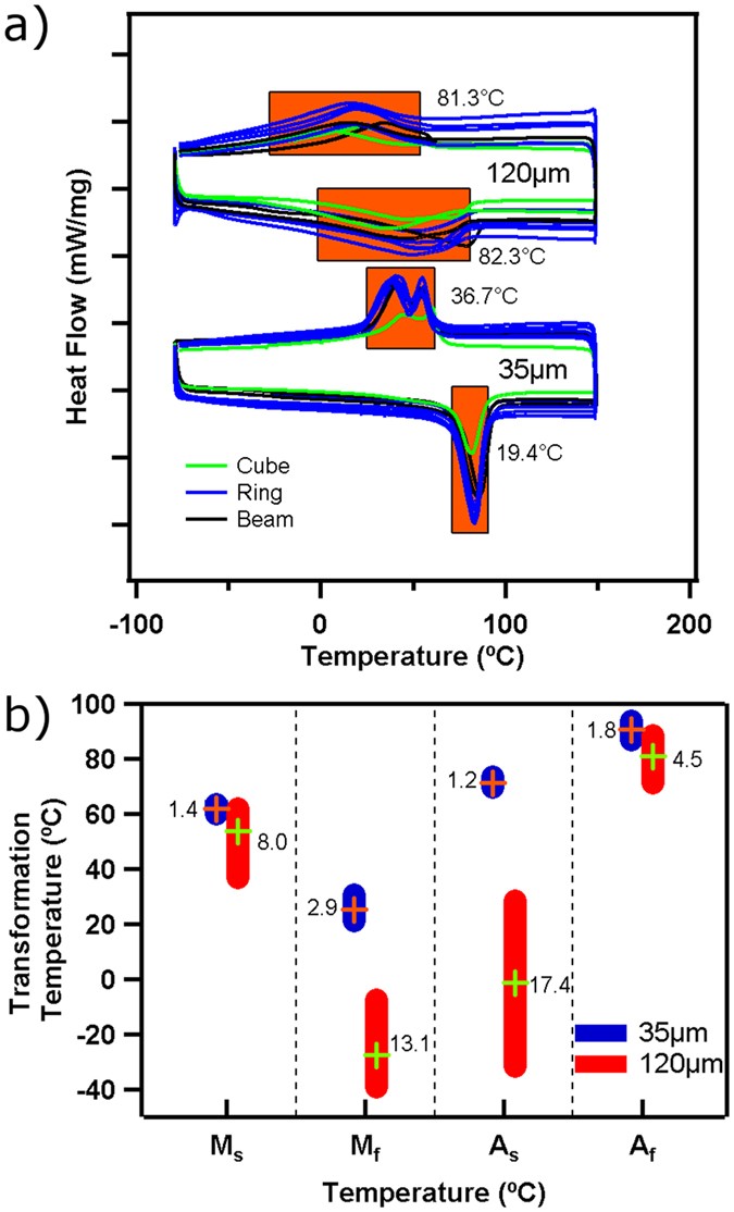
Figure 3
From: A Sensory Material Approach for Reducing Variability in Additively Manufactured Metal Parts

Results of DSC experiments for all NiTi samples 3-D printed using laser scan distances of 35 μm and 120 μm. The raw DSC curves are shown in (a) for multiple samples (10 repetitions with the same processing parameters). The transformation peaks are highlighted in orange, and the average width is indicated next to each peak. The graph in (b) shows the variability in measured transformation temperatures. The four columns correspond to the start (Ms) and finish (Mf) of the martensitic transformation during cooling, and the start (As) and finish (Af) of the reverse transformation to austenite during heating. The height of the bars indicates the range of measurements, and the standard deviation is indicated beside each.