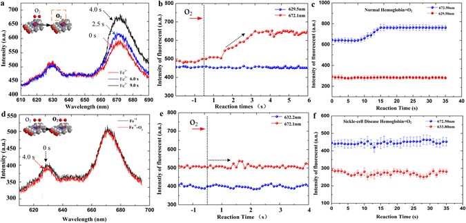
Figure 5

Dynamic oxidation process of the Heme and Metheme, respectively. (a) and (d) Fluorescent spectra of the Heme and Metheme before and after the oxidation. (b) and (e) Time dependent variation of the fluorescent peak intensities during the oxidation process. (c) and (f) Comparison experiments via the Hemoglobin specimen from normal person and SCD patient, which are provided by Ruijin Hospital.