Figure 3
From: First Principles Theory of the hcp-fcc Phase Transition in Cobalt

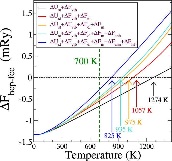
Temperature dependence of the free energy differences. The solid black curve contains the contribution from the static energy and the phonon free energy, the red one adds the electronic contribution, the orange one adds the magnetic free energy, the cyan one contains as well a quasi-harmonic contribution and the blue one contains an estimation of the LSF contribution.