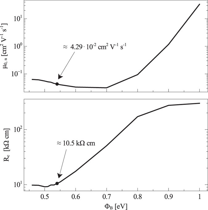
Figure 3

Low–field, low–density mobility μ 0,n (top) and contact resistance R C (at V g = +35 V, bottom), for different values of the injection barrier ΦB. The dots on the curves identify the ΦB value that simultaneously yields in the best fitting of OTFT transfer characteristic curves and of MIS capacitor CF curves.