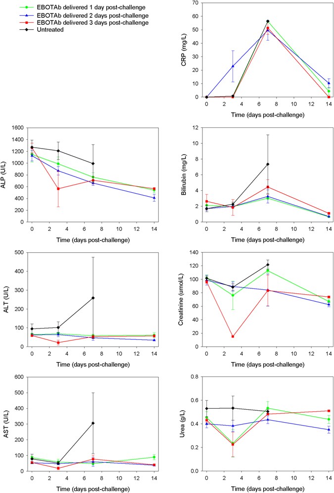
Figure 4

Biochemical analysis for markers of inflammation, liver function and kidney function in animals treated with EBOTAb at 1, 2 and 3 days post-challenge. Blood samples were collected from animals on the day of challenge (day 0) and at 3, 7 and 14 days post-challenge from animals still surviving at these timepoints. Mean results are plotted with error bars denoting standard error. *Denotes statistical difference between treated group and untreated group (P = 0.0518, Mann-Whitney statistical test).