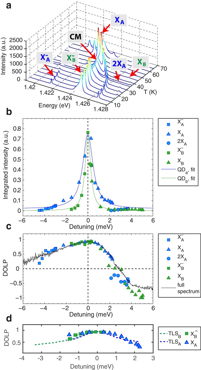
Figure 5

PL intensity and DOLP detuning dependence. (a) PL spectra (not normalized) of the 2QDs-cavity structure versus temperature. Integrated intensities (b) and degree of linear polarization (DOLP) (c) of the excitonic emission peaks versus detuning with respect to the cavity mode. In (b), the blue (green) solid lines represent Lorentzian fits to the data points of the X and X − features of QD A (QD B ). In (c), the solid black line displays the DOLP of the full spectrum, acquired at 40 K high above saturation (P = 5 mW). (d) Comparison of the measured DOLP of the \({X}_{B}^{-}\) and X A transitions with simulated values. In (b–d), the detuning is defined as \(\hslash {\delta }_{j}=\hslash {\omega }_{j}-\hslash {\omega }_{cav}\).