Figure 7
From: Dysivillosins A–D, Unusual Anti-allergic Meroterpenoids from the Marine Sponge Dysidea villosa

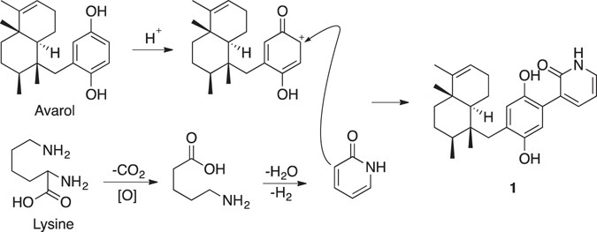
Plausible Biogenetic Pathway of 1.
From: Dysivillosins A–D, Unusual Anti-allergic Meroterpenoids from the Marine Sponge Dysidea villosa

Plausible Biogenetic Pathway of 1.