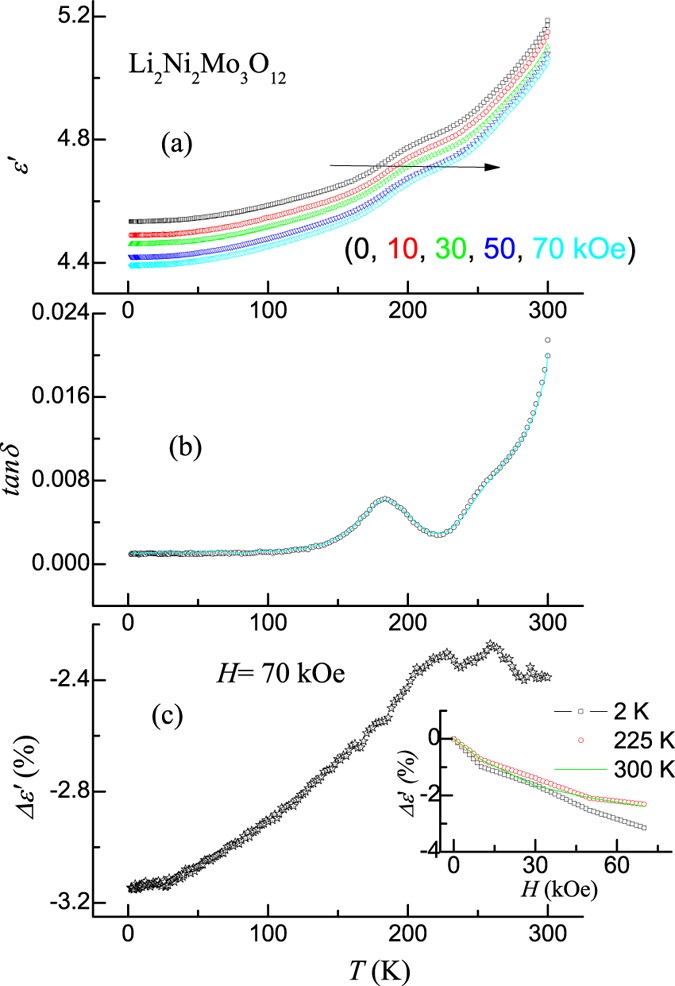
Figure 3

(a) Dielectric constant and (b) tanδ in zero field and in various magnetic fields (10, 30, 50 and 70 kOe), measured with 70 kHz, for Li2Ni2Mo3O12. In (b), data points correspond to zero field, while in-field behavior (70 kOe) is represented by a continuous line. Both these curves overlap. (c) Magnetodielectric effect (Δɛ′) for a change of magnetic field from zero to 70 kOe as extracted from the data shown in (a). Inset of (c) shows Δɛ′ versus H for some selected temperatures.