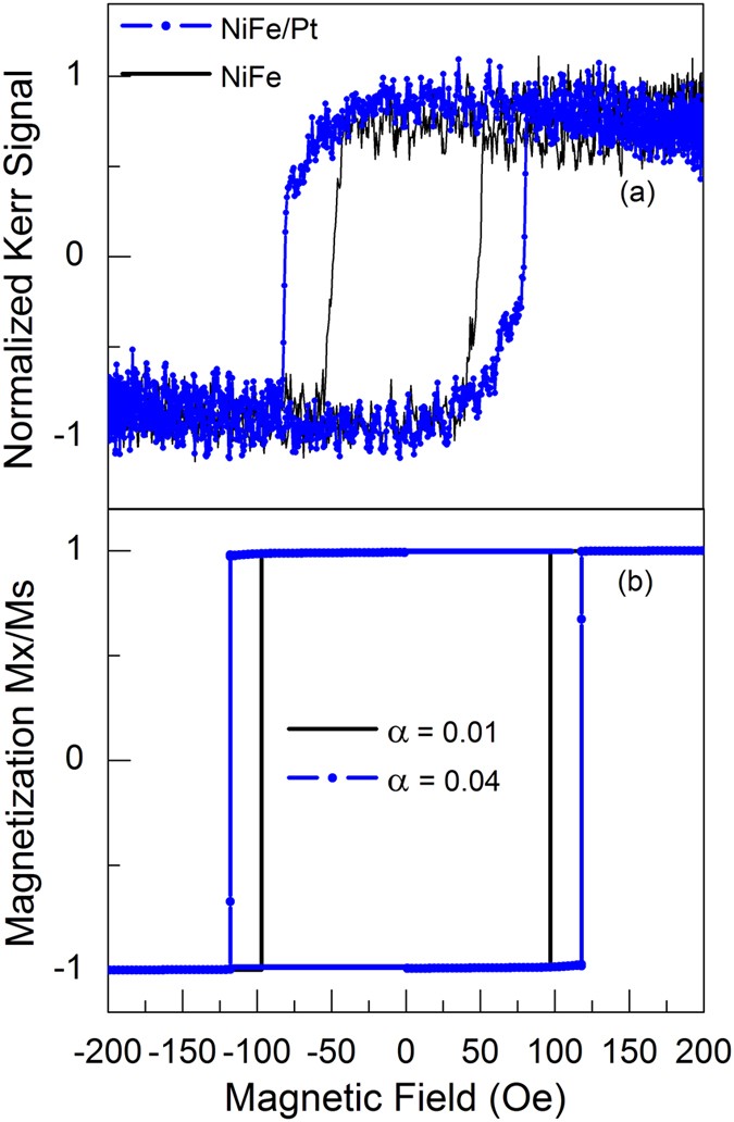
Figure 3

Examples of axial magnetic hysteresis behaviour for nanowires (triangular modulated edges with 75 nm amplitude). (a) Measured hysteresis for Py (10 nm) (continuous line) and Py(10 nm)/Pt(0.6 m) nanowires (dots). The reversal field is observed to be higher for Py(10 nm)/Pt(0.6 m) than Py(10 nm). (b) Simulated magnetic hysteresis for nanowires with a damping parameter of 0.01 (continuous line) and 0.04 (dots) show that increased damping provided by Pt overlayer enlarges the reversal field for larger damping.