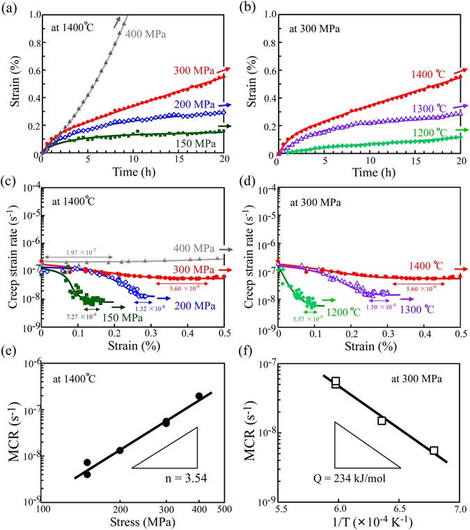
Figure 4

Compressive creep-deformation behavior of the CrIr-added crystals in the 0° orientation. (a) Creep strain versus time curves at 1400 °C and 150, 200, 300 and 400 MPa and (b) at 300 MPa and 1200, 1300, and 1400 °C. (c,d) Corresponding creep strain rate versus strain curves for Figs. (a,b), respectively. (e,f) Variations in the MCR in the 0° orientation (e) at 1400 °C as a function of the applied stress and (f) at 300 MPa as a function of the reciprocal of the temperature.