Figure 3
From: Short-term effects of ambient air pollution and childhood lower respiratory diseases

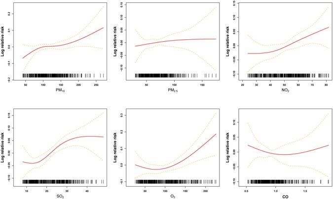
The concentration–response relationship curves for the air pollutants concentrations (lag0–5 day) with daily CLRD.
From: Short-term effects of ambient air pollution and childhood lower respiratory diseases

The concentration–response relationship curves for the air pollutants concentrations (lag0–5 day) with daily CLRD.