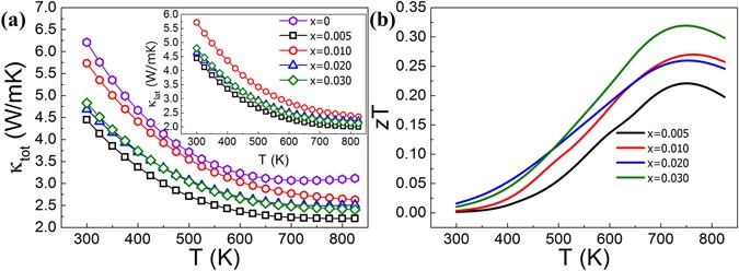
Figure 4

The temperature dependence of (a) the total thermal conductivity (inset: the lattice thermal conductivity) and (b) the figure-of-merit, zT, of the Mg2Ge1−x Bi x (x = 0.005, 0.010, 0.020, 0.030) samples. Sample x = 0.005 exhibited a relative mass density of 86%, much lower than the 97% of all other samples, leading to a reduced κ tot.