Figure 2
From: Key driving forces of desertification in the Mu Us Desert, China

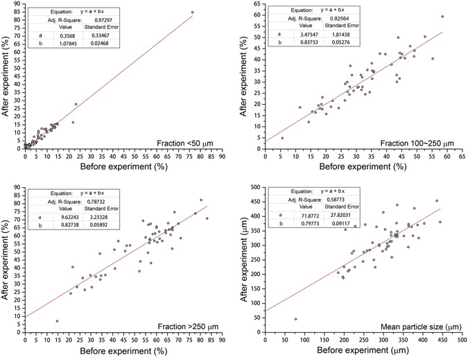
Scatterplots for the relationship of particle size fractions of surface soil before and after wind tunnel experiments.
From: Key driving forces of desertification in the Mu Us Desert, China

Scatterplots for the relationship of particle size fractions of surface soil before and after wind tunnel experiments.