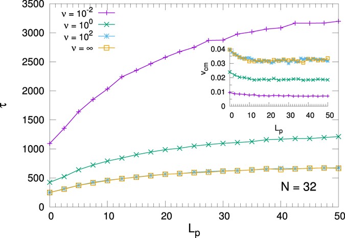
Figure 9
From: Active translocation of a semiflexible polymer assisted by an ATP-based molecular motor

Translocation time and center of mass velocity (inset) as a function of the persistence length L p for the cases of constant applied force (ν = ∞ in the label) and at different values of the motor activation rate ν = 10−2, 1, 102.