Figure 7
From: A new study on the growth behavior of austenite grains during heating processes

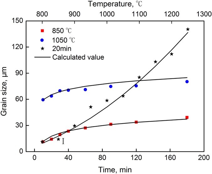
Comparison of the average grain size between the measured values and calculated values of the new model.
From: A new study on the growth behavior of austenite grains during heating processes

Comparison of the average grain size between the measured values and calculated values of the new model.