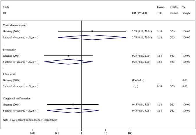
Figure 6

Forest plot showing meta-analysis of infant outcomes for studies comparing TDF versus LAM, based upon random-effects model.

Forest plot showing meta-analysis of infant outcomes for studies comparing TDF versus LAM, based upon random-effects model.