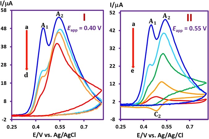
Figure 2

Cyclic voltammograms of MAP (0.25 mmol) in the presence of BS (0.5 mmol) during CPC at 0.40 (part I) and 0.55 (part II) V vs. Ag/AgCl. Part I: the consumed charge is (a) 0, (b) 16, (c) 32 and (d) 47 C. Part II: the consumed charge is (a) 0, (b) 40, (c) 70, (d) 90 and (e) 110 C. Other conditions are as same as Fig. 1.