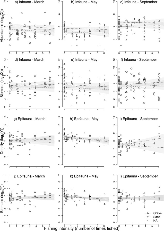
Figure 2
From: Defining thresholds of sustainable impact on benthic communities in relation to fishing disturbance

Effect of scallop dredging on total community infaunal (a–f) and epifaunal (g–l) abundance and biomass (excluding P. maximus and O. fragilis from the epifaunal analysis). Left to right: March (prior to fishing), May (after fishing) and September (four months after fishing). X is for infauna, measured in number of individuals (x10 + 1) or weight in grams (x100 + 1) per 0.1 m2. Y is for epifauna measured in density of individuals (x100 + 1) or weight in kgs (x100 + 1) per 100 m2. Each symbol is a sample, distinguishing sand and gravel types, and NA for samples where no sediment information were available (i.e. data not included in the models). Lines show the predicted values from best models with 95% confidence intervals (grey shading) (all models included fishing intensity, survey time and their interaction and other fixed effects as specified in Table 2).