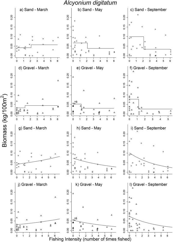
Figure 4
From: Defining thresholds of sustainable impact on benthic communities in relation to fishing disturbance

Effect of scallop dredging on the biomass of dead men’s fingers (Alcyonium digitatum). Left to right: March (prior to fishing), May (after fishing) and September (four months after fishing). Each symbol is a sample, distinguishing sand and gravel types. Observed values are fitted with GLMMs outputs from the threshold analysis (a–f) (best model with AIC = 952.37) and with fishing as a continuous variable (g–l) (AIC = 960.13).