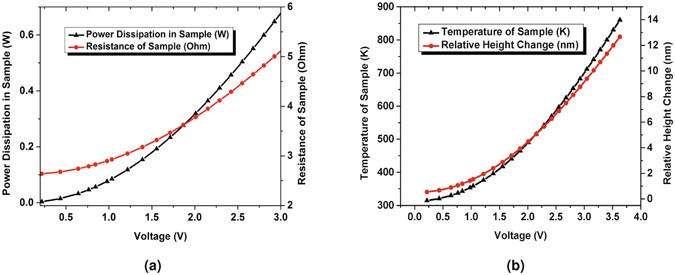
Figure 3

Simulated variations in the sample parameters versus voltage applied to the PCB include (a) power dissipation in the sample and resistance of the sample, and (b) temperature and relative height change. Note that because the PCB and bonding wires have 3 Ω of resistance, the power dissipated in the sample is about half the total power supplied.